Methodology

Rather than testing only pesticide exposure, this analysis screens every available predictor (demographics, health behaviors, environmental factors, agricultural variables) against all 26 cancer types simultaneously. Four analytical layers are applied:

Predictor–Cancer Correlation Heatmap

Heatmap of Spearman correlations between all predictors and 26 cancer types
Figure 1. Spearman correlation heatmap across all predictors and 26 cancer types. Warm colors indicate positive associations; cool colors indicate inverse associations. Smoking and obesity show the broadest positive correlations. Pesticide associations cluster on kidney and colorectal.

Significance Volcano Plot

Volcano plot of predictor-cancer associations showing effect size vs significance
Figure 2. Volcano plot: effect magnitude (x-axis) vs. statistical significance (−log10 p, y-axis). Points above the horizontal line survive FDR correction. The strongest signals are smoking–lung, obesity–kidney, and the cluster of demographic predictors for all-site cancer.

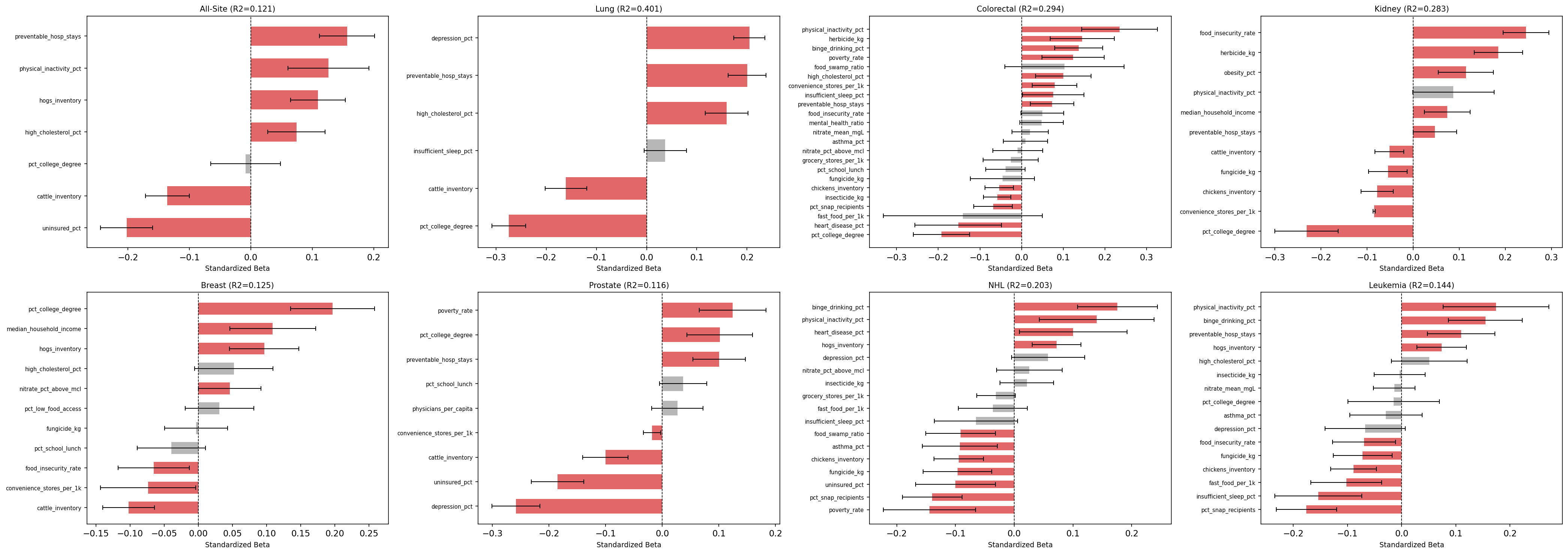
Top OLS Associations

Forest plots of top OLS regression coefficients across cancer types
Figure 3. Forest plots of the strongest OLS associations for selected cancer types. Standardized coefficients with 95% confidence intervals.

Top 8 Scatter Plots

Scatter plots of the 8 strongest predictor-cancer associations with LOWESS curves
Figure 4. Scatter plots with LOWESS smoothers for the 8 strongest predictor–cancer associations. Each point is a US county.

Synthesis

The full exploratory synthesis table (CSV download) contains all tested predictor–cancer pairs with Spearman rho, FDR-adjusted p-value, partial correlation, LASSO inclusion, and OLS coefficient. The top correlates for each cancer type are in top_correlates_by_cancer.csv.

Key Findings

Expected signals confirmed: Smoking is the dominant predictor for lung, larynx, esophageal, and oral cancers. Obesity is the strongest predictor for myeloma and endometrial cancers.
Pesticide specificity: Among 26 cancer types, pesticide density shows its strongest and most consistent associations with kidney and colorectal cancer, matching the hypothesis-driven BYM2 results. This convergence from hypothesis-free screening strengthens the overall evidence.

See Results for the hypothesis-driven analysis and Gauntlets for risk factor head-to-head comparisons.